新聞中心
聯系我們
手 機:19279864570
郵 箱:40045692@qq.com
Q Q:40045692
地 址:上海市奉賢區南橋鎮國順路936號5幢
尼龍班同學大聚會,你真的都認識嗎?
?????????關于尼龍這個班級,他們這些班級成員你都認識么?知道他們學號怎么來的么?知道他們有什么特長么?接下來就跟小編一起了解下吧~
????????尼龍班級學號的命名
????????1.由內酰胺開環聚合的尼龍,稱為尼龍x,簡寫為PAx。如PA6,是由己內酰胺開環聚合而得到。
????????2.由二元酸、二元胺縮聚而得到的聚合物,稱為尼龍xy,其中x代表二元胺中構成主鏈部分所含碳原子數,y代表二元酸中構成主鏈部分所含碳原子數如PA610是由癸二酸和己二胺縮聚而得。
????????3.用重復的二胺或者二酸的簡稱表示,如間苯二甲胺簡稱為MXDA,故間苯二甲胺與己二酸的聚合物稱為尼龍MXD6。
????????尼龍班級同學聚會簽到簿
????????1. 尼龍46(PA46)
????????2. 尼龍4T(PA4T)
????????3. 尼龍56(PA56)
????????4. 尼龍6(PA6)
????????5. 尼龍66(PA66)
????????6. 透明尼龍(半芳香族尼龍)
????????7. 尼龍6T(PA6T)
????????8. 尼龍MXD6
????????9. 尼龍610(PA610)
????????10. 尼龍612(PA612)
????????11. 尼龍9T(PA9T)
????????12. 尼龍10T(PA10T)
????????13. 尼龍1010(PA1010)
????????14. 尼龍11(PA11)
????????15. 尼龍12(PA12)
????????16. 尼龍1212(PA1212)
????????17. 尼龍1313(芳綸1313)
????????18. 尼龍1414(PA1414)
????????尼龍班級同學們
????????尼龍班級的同學們活躍在各行各業中,接下來我們就來一一了解一下他們。
????????1.?尼龍46(PA46)

????????英文名:Polyamide46 or Nylon46;簡稱PA46。尼龍46,又稱聚酰胺46,即聚己二酰丁二胺。
????????其突出的特點是具有高結晶度,耐高溫、高剛性,高強度。主要用于汽車發動機及周邊部件,如缸蓋、油缸底座、油封蓋、變速器。電氣工業中用作接觸器、插座、線圈骨架、開關等對耐熱性、抗疲勞強度要求很高的領域。
圖 帝斯曼集團研發的耐熱性尼龍PA46塑料用于冷器
????????2.?尼龍4T(PA4T)
????????英文名:Polyamide4T or Nylon4T;簡稱PA4T。尼龍4T,PA4T是進入21世紀以來人們合成的第一款高溫尼龍。于2007年9月27日誕生,至今已10年了,在高分子群體里面,是2000年以后第一個被發明的高溫尼龍。結構式如下:
????????PA4T純樹脂的熔點非常高,超過了其分解溫度,如果不進行共聚改性降低其熔點,則無法商用,推廣也及其困難。所以PA4T在市場上推廣,一般都需要共聚改性,常用手段是與PA66和/或PA6共聚以降低熔點。改性后綜合力學性能優異,流動性好,電性能卓越,耐化學腐蝕性以及耐高溫性能突出,能夠滿足電子電氣、移動終端等領域的要求。
△圖 小米6手機
????????3.?尼龍56(PA56)
????????英文名:Polyamide56 or Nylon56;簡稱:PA56。尼龍56由戊二胺和己二酸縮聚而成,戊二胺的提取可以來自天然生物中。其分子結構式為:

????????環保、性能佳、能提高終端織物的舒適性。它的吸水率、玻璃化溫度、強度、柔軟度、吸濕性、回彈性都優于尼龍6、尼龍66、滌綸的部分產品。
圖 尼龍56紡絲
????????4.?尼龍6(PA6)
????????英文名稱:Polyamide6 or Nylon6,簡稱PA6;尼龍6,又稱聚酰胺6,即聚己內酰胺,由己內酰胺開環縮聚而得,分子結構式:
????????呈半透明或不透明的乳白樹脂,具有優越的機械性能、剛度、韌性、耐磨性和機械減震性,良好的絕緣性和耐化學性能。廣泛應用于汽車零部件、電子電氣零等多個領域。
△圖 玻纖增強PA6前端模塊(攝于朗盛展臺)
????????5.?尼龍66(PA66)
????????英文名:Polyamide66 or Nylon6;簡稱PA66;尼龍66,又稱聚酰胺66,即聚己二酰己二胺。分子結構式:
????????與尼龍6相比較,其機械強度、剛度、耐熱和耐磨性,抗蠕變性能更好,但沖擊強度和機械減震性能下降。在汽車、無人機、電子電氣等有著廣泛的應用。
△圖 PA66輪轂(攝于可隆展臺)
????????6.?透明尼龍(半芳香族尼龍)
????????英文名:polytrimethyl hexamethylene terephthalamide;transparent polyamide resin;透明尼龍是無定形聚酰胺,化學名稱為:聚對苯二甲酰三甲基己二胺。其分子結構式為:
????????對可見光的透過率達85%~90%。其以在尼龍成分中加入具有共聚和立體障礙的成分來抑制尼龍的結晶,從而產生非結晶和難結晶的結構,它保持了尼龍原有的強韌性,并得到透明的厚壁制品。透明尼龍的力學性能、電性能、機械強度和剛性與PC和聚砜幾乎屬于同一水平。
△圖 透明尼龍鏡片
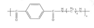
????????7.?尼龍6T(PA6T)
????????英文名:Polyamide6T or Nylon6T;簡稱PA6T。尼龍6T,又稱聚酰胺6T,即聚對苯二甲酰己二胺。
????????其突出的特點是耐高溫(熔點為370℃,玻璃化溫度為180℃,可在200℃下長期使用),高強度、尺寸穩定,耐焊接性好使得PA6T特別適用于黏著技術(SMT)用電子連接器。主要用于汽車部件,油泵蓋、空氣濾清器,耐熱電器部件如電線束接線板、熔斷器等。
△圖 杜邦高溫尼龍PA6T合金系列
????????8.?尼龍MXD6
????????尼龍-mxd6是由三菱氣體化學公司從m-xylenediamine(mxda)生產的廣泛的聚酰胺的通用名稱。它是由間苯二甲胺mxda與己二酸的縮聚而產生的結晶聚酰胺。與尼龍6和尼龍66不同,尼龍mxd6是一種脂肪族聚酰胺,其主鏈中含有一個芳環。化學結構如下:
????????與尼龍6和尼龍66相比,尼龍MXD6具有以下良好的特點:
????????1. 更大的強度和彈性模量;
????????2. 高玻璃化轉變溫度;
????????3. 低吸水性和透濕性;
????????4. 良好的結晶速度和易于成型和制造;
????????5. 良好的氣體阻隔性能。
????????這些特點導致了許多不同的應用,尼龍-mxd6作為包裝和成型材料,以及生產的單絲。
????????尼龍-mxd6是一種優良的氣體阻隔氧氣和二氧化碳的質量。在一定條件下,其氣阻比高于共聚樹脂,如乙烯乙烯醇(evoh)、偏氯乙烯(PVDC)和acrylnitrile(pan)。
????????尼龍-mxd6的成型規格符合其他材料的成型標準。這意味著可以使用尼龍mxd6與聚對苯二甲酸乙二醇酯(pet)、聚丙烯(PP)或聚乙烯(PE),實現共注射成型和共擠出成型,生產層壓容器、瓶子和包裝單。
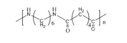
????????9.?尼龍610(PA610)
????????英文名:Poly[imino-1,6-hexanediylimino(1,10-dioxo-1,10-decanediyl)];Polyamide 610;Nylon 610;簡稱PA610。尼龍610,又稱聚酰胺610,即聚葵二酰己二胺。分子結構式:
????????呈半透明奶白色。其強度介于尼龍6與尼龍66之間。比重小,結晶性較低,吸水性低,尺寸穩定性好,耐磨性好,能自熄。用于精密塑料配件,輸油管、容器、繩索、傳送帶、軸承、紡織機械零部件、電氣電子中的絕緣材料和儀表殼等。
△圖 尼龍610氣動管
????????10.?尼龍612(PA612)
????????英文名:Polyhexamethylene dodecanamide;Polyamide 612;Nylon 612;簡稱PA612。尼龍612,又稱聚酰胺612,即聚十二烷酰己二胺。分子結構式為:
????????尼龍612是一種韌性較好的尼龍,密度比610小,有極低的吸水率,優良的耐磨性能,較小的成型收縮率,耐水解性和尺寸穩定性優良。最主要的用途是做高檔牙刷的單絲和電纜包覆。
△圖 冷卻液管(攝于杜邦展臺)
????????11.?尼龍9T(PA9T)
????????英文名:Polyamide9T or Nylon9T;簡稱PA9T。尼龍-9T,又稱聚酰胺-9T,即聚對苯二甲酰壬二胺。其分子結構式為:
????????其突出的特點是:吸水性小,吸水率為0.17%;耐熱性好(熔點為308℃,玻璃化溫度為126℃),其焊接溫度高達290℃。主要用于電子、電器、信息設備和汽車部件。
????????12.?尼龍10T(PA10T)
????????英文名:Polyamide10T or Nylon10T;簡稱PA10T。尼龍10T,又聚酰胺10T,即聚對苯二甲酰癸二胺。其分子結構式為:
????????其主要特點是具有非常低的吸濕性,耐高溫,優異的韌性、剛性和尺寸穩定性,流動性和加工性能好,容易著色,焊接熔合線強度高,熔點高達300~316℃,密度為1.42g/cm3。PA10T中具有苯環和較長的二胺柔性長鏈,使得大分子具有一定的柔順性,從而具有較高的結晶速率和結晶度,適用于快速成型。廣泛應用于LED反射支架、電機端蓋、電刷支架、齒輪等。
????????13.?尼龍1010(PA1010)
????????英文名:Polyamide1010;Nylon1010;簡稱PA1010。尼龍1010,又稱聚酰胺1010,即聚葵二酰葵二胺。分子結構式:
????????尼龍1010是以蓖麻油為基礎原料而制得的,是我國上海賽璐珞廠首先研制成功并實現工業化。其最大的特點是具有高度延展性,可牽伸至原長的3~4倍,而且拉伸強度高,沖擊性和低溫性優良,-60℃下不脆,同時具有極佳的耐磨性、超高的韌性和良好的耐油性,廣泛應用于航天、電纜、光纜、金屬或線纜的表面涂覆等。
△圖 杜邦Zytel RS尼龍1010燃油管路
????????14.?尼龍11(PA11)
????????英文名:Polyamide11 or Nylon11;簡稱PA11。尼龍11,又稱聚酰胺11,即聚十一內酰胺。分子結構式為:
????????呈白色半透明體。其突出的特點是熔融溫度低而加工溫度寬,吸水性低,低溫性能良好,可在-40℃~120℃保持的良好柔韌性。主要用于汽車輸油管、制動系統軟管、光纖電纜包覆、包裝薄膜、日用品等。
△圖 PA11油管
????????15.?尼龍12(PA12)
????????英文名:Polyamide12 or Nylon12;簡稱PA12。尼龍12,又稱聚酰胺12,即聚十二酰胺。分子結構式為:
????????它類似尼龍11,但其密度、熔點和吸水率比尼龍-11低。由于其含有較大量的增韌劑而具有聚酰胺和聚烯烴相結合的性能。其突出的特點是分解溫度高,吸水性低,耐低溫性能優良。主要用于汽車輸油管、儀表板、油門踏板、剎車軟管,電子電器的消聲部件、電纜護套。
△圖 PA12鏟子把手
????????16.?尼龍1212(PA1212)
????????英文名:Polyamide1212;Nylon1212;簡稱PA1212。由十二二胺和十二二酸縮聚而得。其分子結構式為:
????????PA1212吸水率在尼龍中最低、尺寸穩定性好,、耐油、耐堿、耐磨性好、耐化學品、透明性好、低溫下具有極好的韌性。廣泛用于航天、汽車、紡織、儀表、醫療器材等。
????????17.?尼龍1313(芳綸1313)
????????英文名:Polyamide1313;Nomex;Nylon1313;簡稱PA1313。間苯二甲酰氯和間苯二胺為單體進行縮聚而得,其分子結構式為:
????????Nomex具有遠高于脂肪族PA的力學性能和耐熱性能(作為纖維織物,壽命是脂肪族PA纖維布的8倍,棉布的20倍),良好的耐熱老化性(250℃經2000h熱老化后,表面電阻率和體積電阻保持不變),在較高溫度或潮濕的環境下仍可保持較好的電性能。主要用于H級電絕緣材料和制備高性能纖維(HT-1纖維)。
????????18.?尼龍1414(PA1414)
????????英文名:Polyamide1414;Kevlar;Nylon1414。簡稱PA1414。聚對苯二甲酰對苯二胺(Polyphthalamide)。其分子結構式為:
????????分子主要由具有剛性的苯環組成,屬于高剛性聚合物,其分子結構具有高度的對稱性和規整性,大分子鏈之間有很強的氫鍵,使得該聚合物具有高強度、高模量、耐高溫、低密度、熱收縮性小、尺寸穩定性好等特點,能制成高強度、高模量纖維。
△圖 芳綸1414防彈衣


?
?
?
?
?
?
?
?
?
?
?
?
?
?
?
?
?
?
?
?
?
?
?
?
?
?
?
?